Análise do dataset
Flor de Íris

O conjunto de dados flor de Íris ou conjunto de dados Íris de Fisher é um conjunto de dados multivariados introduzido pelo estatístico e biólogo britânico Ronald Fisher em seu artigo de 1936, "O uso de múltiplas medições em problemas taxonômicos", como um exemplo de análise discriminante linear. Fonte: Wikipedia.

Conjunto Flor de Íris

Às vezes, é chamado de conjunto de dados da íris de Anderson porque Edgar Anderson coletou os dados para quantificar a variação morfológica das flores da íris de três espécies relacionadas. Fonte: Wikipedia.

O simbolismo desse dataset para a área de dados

O conjunto de dados da íris é amplamente usado como um conjunto de dados para iniciantes para fins de aprendizado de máquina. O conjunto de dados está incluído no R (linguagem de programação) base e no Python pacote de aprendizado de máquina Scikit-learn, para que os usuários possam acessá-lo sem precisar encontrar uma fonte para ele. Fonte: Wikipedia.

O dataset é formado por 150 registros em 5 colunas.

In [2]:
iris.shape
Out[2]:
(150, 5)

O conjunto de dados contém 150 registros e consiste em 50 amostras de cada uma das três espécies de Iris ( Iris setosa, Iris virginica e Iris versicolor), um terço cara pada uma.

In [3]:
print(iris['Species'].value_counts())
Iris-setosa        50
Iris-versicolor    50
Iris-virginica     50
Name: Species, dtype: int64
In [10]:
plt.pie(iris['Species'].value_counts().values, labels=iris['Species'].unique(),autopct='%1.1f%%')
plt.show()

Quatro variáveis foram medidas em cada amostra: o comprimento e a largura das sépalas e pétalas, em centímetros.

In [4]:
iris.columns
Out[4]:
Index(['SepalLengthCm', 'SepalWidthCm', 'PetalLengthCm', 'PetalWidthCm',
       'Species'],
      dtype='object')

Estatísticas gerais por espécie catalogada

Conhecer as estatísticas gerais é uma boa maneira de se obter uma visão panorâmica de um conjunto de dados. Nesse dataset, pressupôe-se que as correlações entre as variáveis em estudo se dão por espécie, assim, inicialmente tratamos cada uma como um conjunto separado.

Quantidade, média, desvio padrão, mínimo, quartil 25%, mediana, quartil 75% e valor máximo de cada característica para a variante Iris setosa:

In [5]:
iris.loc[iris['Species'] == 'Iris-setosa'].describe()
Out[5]:
SepalLengthCm SepalWidthCm PetalLengthCm PetalWidthCm
count 50.00000 50.000000 50.000000 50.00000
mean 5.00600 3.418000 1.464000 0.24400
std 0.35249 0.381024 0.173511 0.10721
min 4.30000 2.300000 1.000000 0.10000
25% 4.80000 3.125000 1.400000 0.20000
50% 5.00000 3.400000 1.500000 0.20000
75% 5.20000 3.675000 1.575000 0.30000
max 5.80000 4.400000 1.900000 0.60000

Quantidade, média, desvio padrão, mínimo, quartil 25%, mediana, quartil 75% e valor máximo de cada característica para a variante Iris versicolor:

In [6]:
iris.loc[iris['Species'] == 'Iris-versicolor'].describe()
Out[6]:
SepalLengthCm SepalWidthCm PetalLengthCm PetalWidthCm
count 50.000000 50.000000 50.000000 50.000000
mean 5.936000 2.770000 4.260000 1.326000
std 0.516171 0.313798 0.469911 0.197753
min 4.900000 2.000000 3.000000 1.000000
25% 5.600000 2.525000 4.000000 1.200000
50% 5.900000 2.800000 4.350000 1.300000
75% 6.300000 3.000000 4.600000 1.500000
max 7.000000 3.400000 5.100000 1.800000

Quantidade, média, desvio padrão, mínimo, quartil 25%, mediana, quartil 75% e valor máximo de cada característica para a variante Iris virginica:

In [7]:
iris.loc[iris['Species'] == 'Iris-virginica'].describe()
Out[7]:
SepalLengthCm SepalWidthCm PetalLengthCm PetalWidthCm
count 50.00000 50.000000 50.000000 50.00000
mean 6.58800 2.974000 5.552000 2.02600
std 0.63588 0.322497 0.551895 0.27465
min 4.90000 2.200000 4.500000 1.40000
25% 6.22500 2.800000 5.100000 1.80000
50% 6.50000 3.000000 5.550000 2.00000
75% 6.90000 3.175000 5.875000 2.30000
max 7.90000 3.800000 6.900000 2.50000

Diagrama de caixa

Podemos visualizar esses mesmos valores de uma forma gráfica por meio do diagrama de caixa. Wikipedia: "Em estatística descritiva, diagrama de caixa, diagrama de extremos e quartis, boxplot ou box plot é uma ferramenta gráfica para representar a variação de dados observados de uma variável numérica por meio de quartis."

Diagrama de caixa

Wikipedia: "O box plot tem uma reta (whisker ou fio de bigode) que estende–se verticalmente ou horizontalmente a partir da caixa, indicando a variabilidade fora do quartil superior e do quartil inferior. Os valores atípicos ou outliers (valores discrepantes) podem ser plotados como pontos individuais. (...) Essa ferramenta é usada frequentemente para analisar e comparar a variação de uma variável entre diferentes grupos de dados."

Na imagem anterior, podemos visualizar o valor lado a lado de cada característica observada para as três espécies numa mesma escada. Com os boxplots, vemos os valores máximos (traço superior), mínimos (traço inferior), discrepantes (círculos), a mediana (traço laranja central) e valores notáveis como 75% e 25% (limites superior e inferior das caixas).

Comparando os atributos correspondentes de cada espécie, podemos perceber que eles naturalmente se agrupam, evidenciando sua correlação.

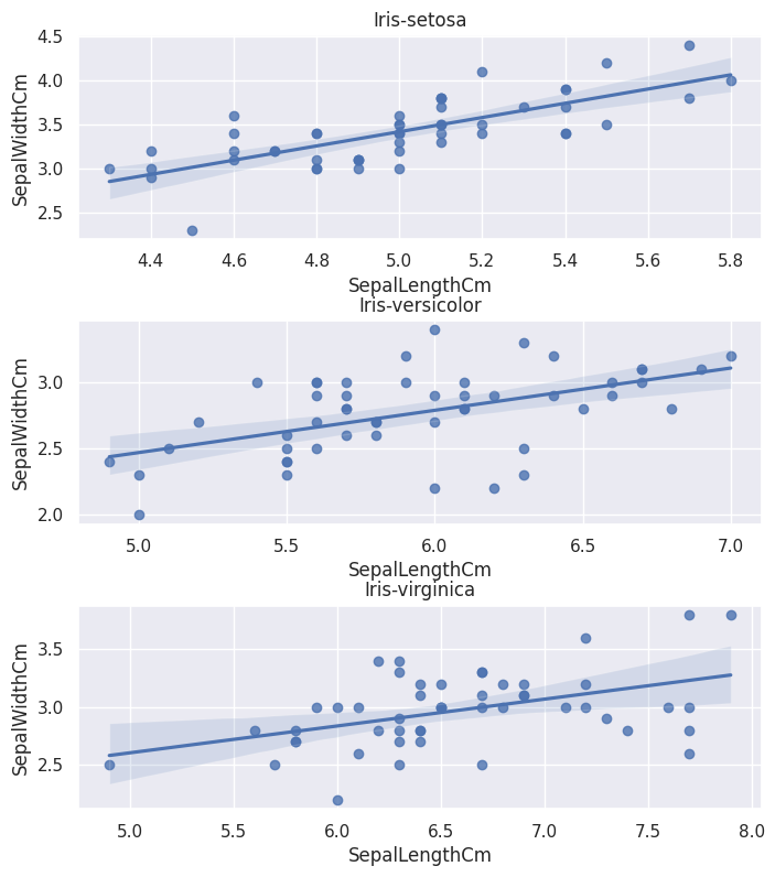
Utilizando um gráfico de regressão linear, podemos visualizar a função aproximativa das correlações:

Também podemos usar gráficos de distribuição:

Comparando atributo por atributo, temos:

In [ ]: